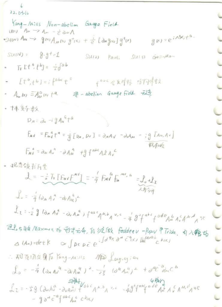
220316





220315

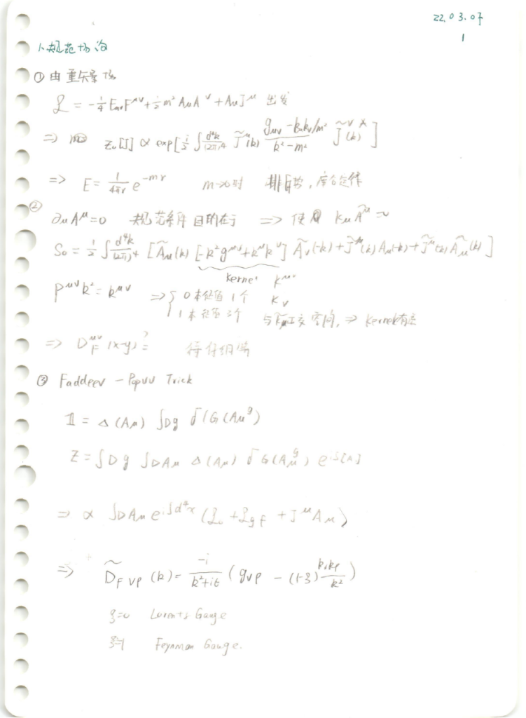
220308
以后要做的绝不是纯形式的理论,一定要贴近物理。要做物理,不是做数学。先把物理学好,才能做数学物理。



220307


220305


220304





220303

220301
广义相对论
今天广相从陈斌老师前言看到27页。先是讲双曲空间的几何语言来介绍狭义相对论,再介绍四矢量四速度,四加速度。然后是质点动力学,有质量粒子的四速度变换,三速度叠加公式,快度来算 几何语言。 加速的的叠加公式。
做匀加速运动的粒子(随动系)的世界线在静止系下来看轨迹是一条双曲线。
光学效应待补:
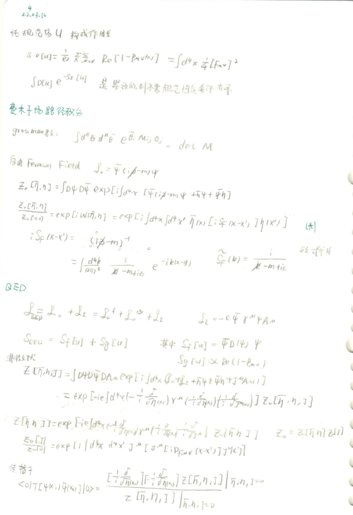
规范场论
复习了规范场论
李群李代数
讲了GL SL U SU O SO 以及Sp群的性质分类依据。
群的直积 如何用两个小的群生成大的群 判断是否为直积的依据。