220426 广相 施瓦西解

220426 半单李代数分类 ADEFG


220426 半单李代数 Root system examples

220425 李代数 Levi分解 Root Rootspace


220425 广相爱因斯坦方程 作用量原理 能量条件 能动张量




220420 广相 弱场近似 Einsitein方程线性化

220418 规范场 Φ4 理论重整化群 标量场重整化群与一维Ising模型


220418 广相 爱因斯坦方程


220416 P9 李群李代数的同构包含关系

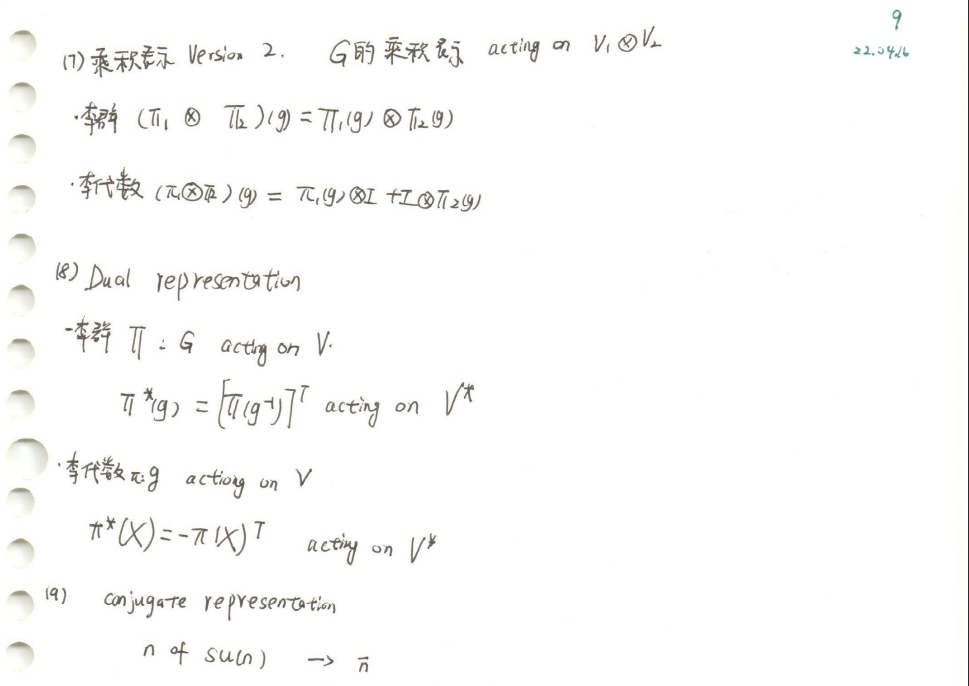
220416 P8 常见李群李代数及其表示的具体形式


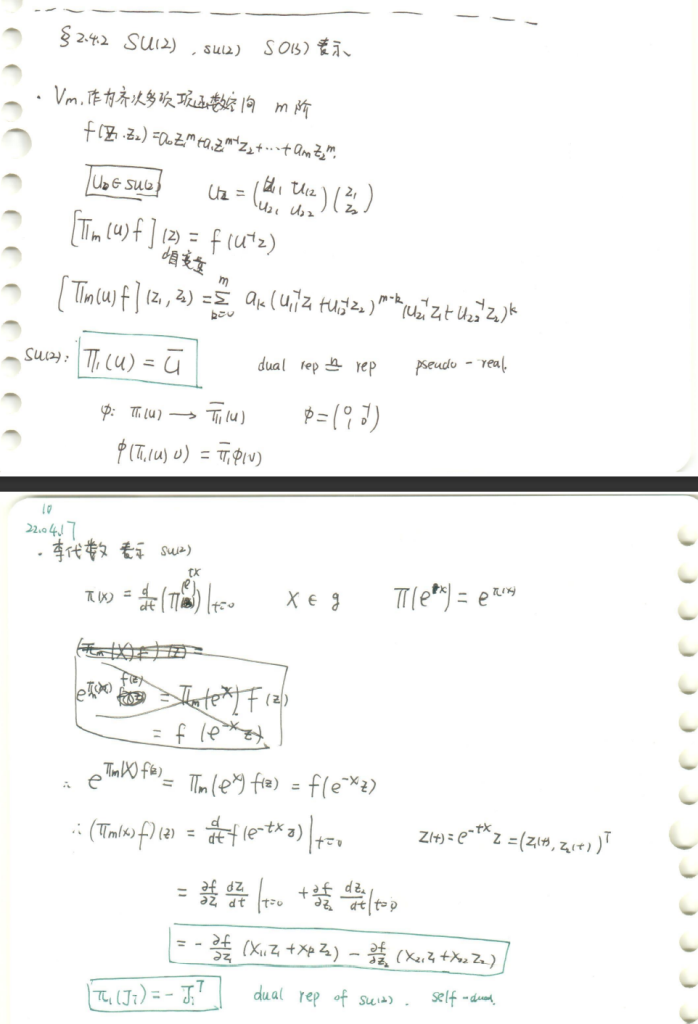
220416 P7 SU(2) su(2) SO(3)表示的构成 函数空间


220416 P6 李群李代数常见表示的构成


220416 P5 李群李代数表示基本常识

220416 P4 基本李群以及附属李代数的生成元


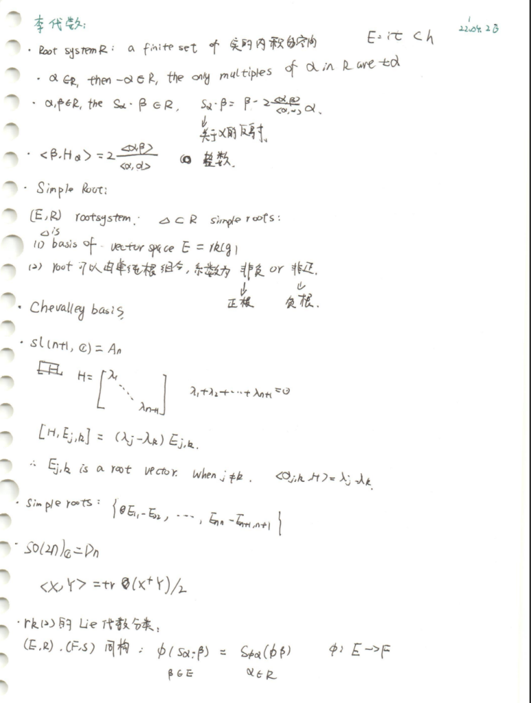
220416 P3 李代数基本知识


220416 P2 李群基本常识


220416 P1


220415


220413



220409 广义相对论 梁灿彬书 第二章精选知识点随手记

